https://www.researchgate.net/publication/366398794_Lengthweight_relationship_and_condition_factor_of_Amur_goby_Rhinogobius_similis_Gill_1859_Actinopteri_Gobiidae_from_different_areas_in_Vietnam
Tóm tắt bài báo
Rhinogobius similis là loài cá bống nước ngọt phổ biến, phân bố rộng từ vùng ôn đới đến nhiệt đới. Thông tin về mối quan hệ giữa chiều dài và khối lượng (LWR) và hệ số điều kiện (K) của loài này rất quan trọng trong việc đánh giá và quản lý nguồn lợi cá, tuy nhiên các thông tin này vẫn còn hạn chế. Nghiên cứu này nhằm mục đích xem xét sự biến động của LWR và K giữa các mùa, khu vực và sinh cảnh của loài này dựa trên 2508 mẫu vật thu được trong giai đoạn các năm 2020-2021 từ hệ thống sông Hồng ở phía Bắc và một hồ ở Tây Nguyên, Việt Nam. Chiều dài chuẩn của mẫu cá thu được trong khoảng 2,30-8,27 cm (4,65 ± 0,84 cm) và khối lượng trong khoảng 0,1-5,8 g (1,03 ± 0,61 g). Khối lượng cá có thể được dự đoán dựa trên chiều dài của cá với độ tin cậy cao, với giá trị r2 của LWR cao (r2 > 0,83). Các giá trị b nằm trong khoảng 2,804-3,462, cao hơn so với các giá trị ở các quần thể ôn đới và cận nhiệt đới ở Trung Quốc. Loài này cho thấy sự tăng trưởng thiên về khối lượng với giá trị b thường lớn hơn 3. Giá trị K ước tính cho tất cả các cá thể, thấp hơn ngưỡng dinh dưỡng là 1, do đó cho thấy R. similis sống trong điều kiện môi trường không thuận lợi tại thời điểm lấy mẫu. Hệ số tăng trưởng và K thay đổi theo mùa, khu vực và môi trường sống. Ở sinh cảnh ven sông Hồng, loài này thể hiện hệ số tăng trưởng thiên về khối lượng trong mùa mưa nhưng hệ số tăng trưởng đồng đẳng trong mùa khô. Giá trị K cao hơn 1 trong một số trường hợp và cao hơn trong mùa mưa so với mùa khô, ở sinh cảnh ven sông Hồng và ở sinh cảnh đầm hồ phía Nam cao hơn ở các sinh cảnh khác. Những khác biệt về vĩ độ trong hệ số tăng trưởng và K giữa các vùng khác nhau khẳng định khả năng thích nghi của loài này trong các môi trường sống khác nhau. Dữ liệu thu được sẽ hữu ích cho việc kiểm soát loài cá này đồng thời quản lý hệ sinh thái vì nó có nhiều ở các vùng nhiệt đới và có tác động sinh thái tiềm ẩn đối với các loài bản địa.

Hình 1. Trang đầu bài báo

Hình 2. Biểu đồ thể hiện các điểm thu mẫu loài R. similis tại hồ Bắc Mê tỉnh Hà Giang (BM), sông Hồng tại Hà Nội (RV), hồ Hòa Bình tại tỉnh Hòa Bình (HB) và hồ Lắk tại tỉnh Đắk Lắk (LL), Việt Nam

Hình 3. Mẫu vật của loài R. similis thu được từ một số vùng ở Việt Nam: A. Bắc Mê, 5,79 cm SL; B. Hòa Bình, 4,50 cm SL; C. Sông Hồng, 4,90 cm SL; D. Hồ Lắk, 4,95 mm SL

Hình 4. Bảng thống kê mô tả sự biến đổi quan hệ chiều dài và khối lượng loài R. similis giữa theo các thời gian khác nhau; N, số mẫu; TL, chiều dài tổng; W, khối lượng; a, hệ số chặn; b, hệ số gốc; R2, hệ số xác định; I, tăng trưởng đồng đẳng; +A, tăng trưởng dương (thiên về khối lượng)

Hình 5. Bảng thống kê mô tả sự biến đổi quan hệ chiều dài và khối lượng loài R. similis giữa các địa điểm khác nhau

Hình 6. Bảng thống kê mô tả sự biến đổi quan hệ chiều dài và khối lượng loài R. similis giữa các sinh cảnh khác nhau

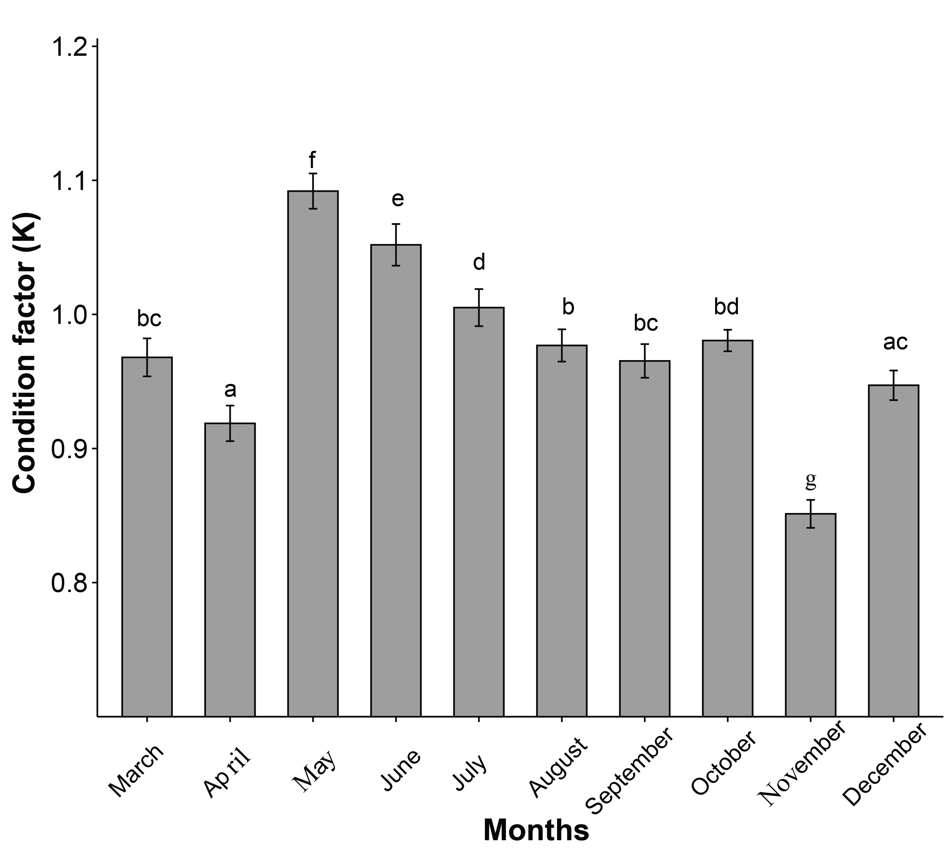
Hình 7. Biến động theo tháng của hệ số điều kiện loài R. similis thu được từ sông Hồng, Hà Nội, Việt Nam; thanh dọc thể hiện sai số chuẩn; các chữ cái khác nhau cho thấy sự khác biệt có ý nghĩa với p <0,05

Hình 8. Sự thay đổi theo mùa trong hệ số điều kiện của loài R. similis thu được từ sông Hồng ở Hà Nội (A) và hồ Lắk (B) ở Việt Nam

Hình 9. Sự khác biệt về hệ số điều kiện của loài R. similis giữa các khu vực ở Việt Nam

Hình 10. Sự khác biệt về hệ số điều kiện giữa hai dạng sinh cảnh của loài R. similis ở Việt Nam